MADE IN TAMRON 人と技でつなぐタムロンのものづくり
トップ > タムロンのものづくり > ものづくりの現場を訪ねる > 第6回 光学ガラス材から写真レンズに仕上げる
- 第1回
MADE IN TAMRON - 第2回
タムロンレンズが大切にしていること - 第3回
描写のフィロソフィー - 第4回
交換レンズができるまでを俯瞰する - 第5回
交換レンズのもう1つの重要パーツ - 第6回
光学ガラス材から
写真レンズに仕上げる - 第7回
中国・仏山タムロン工場について - 第8回
どこで作っても、同じ品質、
同じ性能のレンズをめざす - 第9回
工場で交換レンズを作っている人たち - 第10回
デジタルカメラにとって良いレンズとは

田中 希美男たなか きみお
多摩美術大学・多摩芸術学園写真科を卒業後、フリーランスフォトグラファーに。おもにクルマの撮影を専門とするが、人物、風景、スナップなど撮影分野は多岐に渡る。おもな出版書籍は「デジタル一眼上達講座」、「デジタル一眼 "交換レンズ" 入門」(ともにアスキー新書)、「デジタル一眼レフ・写真の撮り方」(技術評論社)、「名車交遊録」(原書房) 、「名車探求」(立風書房)など。写真展は多数開催。現在、カメラやレンズ、写真関連の雑感を写真ブログ『Photo of the Day』や、twitter『@thisistanaka』で情報を発信中。
光学ガラス材から写真レンズに仕上げる
光学ガラスレンズに仕上げて、交換レンズ組み立て工程に渡すまでの「作業」としては、おもに4つの工程がある。
(1)光学レンズの研磨や非球面レンズの製造
(2)レンズ部品の製造(貼り合わせや部分組み付け)
(3)最終組み立て(枠に嵌め込む、部組み)
(4)検査と調整、清掃
1本の交換レンズには多くの光学ガラスレンズ(硝材)が組み合わさってできあがっている。他にもあれこれの部品が必要ではあるが、なんといっても光学レンズこそがもっとも重要な「基幹部品」である。第2回のブログで述べた「結像性能」も「感応性能」も、光学レンズの組み合わせ、レンズの仕上げの良し悪しでほぼ決まってしまうと言ってもいいだろう。
まず、光学設計の担当者が製品の企画決定を受けて設計に取りかかる。
現在約200種類以上あるといわれている光学ガラスレンズの中から、光の屈折率、分散特性、透過率、厚み、大きさなど、さまざまな光学的要素を見極めながら最適な光学レンズを選び出し、組み合わせる。
具体的には、収差補正、解像力、コントラスト、ぼけ味、フレア/ゴースト、レンズの大きさや重さ、コスト、作りやすさなどを考えながらレンズ設計を決めていく。
そうして、できあがった設計図の指示に従って、工場では光学ガラスを研磨したり、非球面レンズを作ったりして1枚の精密な光学レンズに仕上げる。この作業を「レンズ加工」とよんでいる。
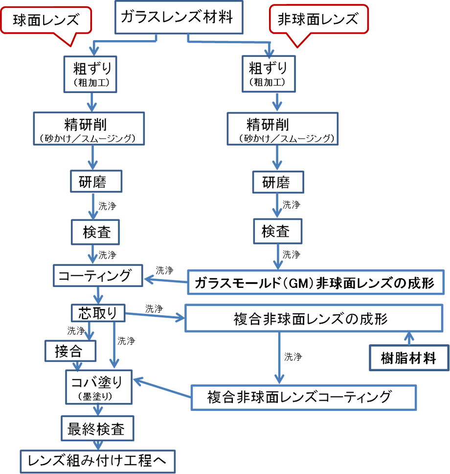
まず、下のチャート図をご覧いただきたい。
光学ガラスを加工して完成レンズに仕上げるまでの工程を示したものだ。
非球面レンズには、ガラスレンズを材料にする非球面レンズ(ガラスモールド非球面)、プラスチックとガラスレンズを使う非球面レンズ(複合非球面)、この2つがある。交換レンズに使用される複合非球面レンズは球面レンズにプラスチック非球面を貼り付けて仕上げるのが一般的である。
ガラスモールドの非球面レンズは、非球面形状に仕上げた精密金型を使って、粗ずり/ 精研削/ 研磨工程にてある程度の形状まで追い込んだガラス素材を高熱高圧でプレスして作る。
なお、球面、非球面レンズの材料となる光学ガラス材はタムロンでは作っていない。多くのカメラ/レンズメーカーもそうであるが、光学ガラスレンズ製造の専門メーカーから、ほぼレンズの形に切り分けられた部品として購入している。
タムロンでは、レンズ加工をおもに青森の浪岡工場と中国・仏山のタムロン工場などでおこなっている。ただし、ガラス材の非球面レンズ(ガラスモールド=GM)は青森にある浪岡工場内だけでしか製造していない。複合非球面レンズは仏山・タムロン工場でも製造している。
非球面レンズ作りは、とくにガラスモールド非球面の製法は、どこのメーカーもそうであるが秘中の秘となっている。設備も特殊なうえに製造の難易度も極めて高い。ノウハウもいっぱいある。超精密な金型作りはもちろん、プレスするときの温度や圧力、プレスした後の離形時の温度、時間などなどに秘密のノウハウがぎっしりと詰まっている。ナノ構造のレンズコーティング・eBANDの処理、精密金型の製作手法とともに、タムロンの門外不出の技術といってもいいだろう。
非球面レンズは今後、さらに進化し高性能化していくことは間違いない。描写性能を飛躍的に向上させる「キーデバイス」でもある。その非球面レンズ作りには当初から高い技術力をタムロンは持っていて、将来が愉しみでもある。
球面レンズのほうは昔からのオーソドックスなやり方が受け継がれ、研磨と洗浄を繰り返して仕上げられる。レンズ研磨にはまだまだ職人技術が求められるところが多い。
青森の浪岡工場ではベテランの"レンズ職人"が研磨レンズの完成基準となる「原器」をひとつひとつ時間と手間をかけて作っている。そうしてできあがった原器が仏山タムロン工場に送られている。ガラスモールド非球面も原器も、マザー工場である青森工場の"職人"たちでしかできないことも多い。
中国仏山のタムロン工場では、現地スタッフを養成して職人技術の向上に日々、努めている。
しかし、いっぽうでは職人ワザに頼らない自動化も進められている。作業の自動化のメリットは品質の安定性とスピードである。作業者の熟練度にかかわらず、狙った品質の製品が数多く短時間で仕上げられる。自動化のデメリットとしては自動化設備のための製造コストを考えると少量生産に不向きなことだ。
タムロンは職人技術を大切にしつつ、必要なところは自動化をすすめていこうとしてるようだ。
とはいえ、レンズ研磨、レンズ加工にはまだまだアナログな職人ワザ的な製法が多く残っている。細やかな気配りをして丁寧な作業をしないと優れた品質の製品を生み出すことはできない。
たとえば、レンズ研磨をおこなうときに研磨剤を使うのだが、研磨工程の終了ごとに完全に洗浄をおこなってから次の作業に移らないことには精度の高いレンズ面に仕上げることはできない(洗浄液は純水を使用する)。さらに洗浄したレンズは空気中の酸素に反応(レンズのヤケ)しやすく変色してしまうので処置には十分に配慮しなければいけない。
ちなみに、上のチャート図にあるように、レンズ研磨は表面の粗さをだんだんと滑らかにしていく作業で、おもに三段階ある。研磨の段階をふみながら、だんだんと指定の曲率に仕上げていく。
第一段階の「粗ずり(あらずり)」では約4~10μmの表面の粗さだが、次の「精研削」では約0.2μmまで磨き込まれる。1μmは0.001mmだ。さらに仕上げの「研磨」ではレンズ表面凹凸は約0.002~0.015μmぐらいになり透明な写真レンズとなる。
研磨されたレンズの曲率が設計値に合致しているかチェックする道具が原器レンズ。前述したように、原器はひとつひとつ手作りするオリジナルのガラスレンズである。特別なワザを持った職人が丁寧に作り上げる。青森の浪岡工場にはそうしたベテラン職人が何人もいる。
原器の出来上がり次第で量産されるレンズの精度が決まってしまうこともある。そうした原器は、自社のぶんだけでなく他社からの注文を受けて作ることも多い。あまり知られていないが原器作りとしてタムロンは名の通ったメーカーでもある。
所定のレンズ研磨と洗浄をすませると、レンズ表面にコーティングを施す。ゴミやほこりに細心の注意を払いながらコーティング処理をおこなう。
レンズの光軸がレンズ径の真ん中になるようにレンズ周囲(端面)を削る工程もある。芯取り(芯出し)とよばれるもので、1点しかない光軸を見極めて正確にレンズ周囲を削っていく。いまはほぼ自動化されているとはいえ、ほんのわずかなズレも許されない神経を使う作業である(コーティング前にこの作業をすませてしまうこともある)。この芯出し工程のときに、指定されたレンズ枠にぴったりと固定されるように端面形状も正確に整える。
芯取り作業は非球面レンズでもおこなう。ただしやっかいなことに、非球面レンズには「光軸」が多く存在するため、いっそう神経を尖らせて作業をおこなう必要がある。
必要に応じてレンズは、特殊接着剤を使って2枚貼り合わせの接合をおこなう。合わせ面にゴミやほこりはもちろん、小さな気泡が入り込まないように神経を使って作業する。
レンズコーティングや接合を終えたレンズは、1枚ずつその外周端面部(コバ)を黒く塗りつぶす。これが墨塗りとかコバ塗りとよばれている作業。
入射してきた光がレンズ内で反射するのを防ぐためだ。レンズによっては端面部からごくごくわずかに"はみ出して"墨塗りをおこなうこともある。簡単そうに見えてこれがとても難しい作業である。
『 VIRTUAL TOUR PRSENTED BY TAMRON CAMERA LENS MANUFACTURING 一眼レフ用レンズができるまで』 がそれで( https://www.velnaro.club/jp/monozukuri/tour/ )ぜひ、参考にしてもらうといいだろう。
レンズ加工の作業の中では、何度も検査(性能チェック)が繰り返され次の行程に進んでいく。とても「地味」で「根気」の必要な作業だ。でも、品質を確保するために決して避けることはできない。
肉眼による目視検査も明るい照明を透して、厳密に外観チェックをする。小さなゴミがあれば丁寧に拭き取り、表面に微かなキズがあっても不良品として外す。
こうしてようやくレンズ単体が完成し、レンズ組み立て工程に進む。
というわけでレンズ加工については話がやや長くなりました。
次回は、仏山のタムロン工場のおおまかな紹介と案内をしていきましょう。中国のタムロン工場って、いったいどんなところなのか。どうぞ次回をお愉しみにお待ちください。
SP 45mm F/1.8 Di VC USD (Model F013)、絞り優先オート(F/3.5、1/50秒)、マイナス0.3EV露出補正、ISOオート(ISO1100)。
28-300mm F/3.5-6.3 Di VC PZD (Model A010)、絞り優先オート(F/5.6、1/25秒)、マイナス0.7EV露出補正、ISO12800。

田中 希美男たなか きみお
多摩美術大学・多摩芸術学園写真科を卒業後、フリーランスフォトグラファーに。おもにクルマの撮影を専門とするが、人物、風景、スナップなど撮影分野は多岐に渡る。おもな出版書籍は「デジタル一眼上達講座」、「デジタル一眼 "交換レンズ" 入門」(ともにアスキー新書)、「デジタル一眼レフ・写真の撮り方」(技術評論社)、「名車交遊録」(原書房) 、「名車探求」(立風書房)など。写真展は多数開催。現在、カメラやレンズ、写真関連の雑感を写真ブログ『Photo of the Day』や、twitter『@thisistanaka』で情報を発信中。








